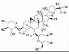
【中文名】: 黄芪甲苷
		【别  名】:  黄芪皂苷IV
	
	
		【英文名】:  Astragaloside IV
	
	
		【C A S 】:  84687-43-4
	
	
		【分子式】:  C41H68O14
	
	
		【分子量】: 784.97
	
	
		【溶解度】: 甲醇
	
	
		【性 状】:  白色结晶粉末
	
	
		【规 格】: 98%,99% by HPLC
	
	
		【包 装】: 10mg,20mg,50mg,100mg,1g,100g......或根据客户要求提供相应包装
	
	
		【干燥失重】: ≤0.2%
	
	
		【贮 存】:  密封避光保存,2-8℃。
	
	
		【用 途】: 本品仅用于实验室科研含量测定。
	
	
		【检测条件】: HPLC-ELSD:乙腈:水(32:68)(仅供参考)
	
	
		【注意事项】: 本品应在低温干燥保存,特殊产品要在氮气下保存,长时间保存不当含量会有所降低。
	
	
		【有效期】:  2年 
	
购物车
帮助
021-54845833/15800441009
              