欢迎来到上海通蔚!
请登录
▏
注册
▏
购物车
▏
帮助
热搜:
人elisa试剂盒
|
生化试剂盒
|
PCR试剂盒
|
细胞培养基
021-54845833/15800441009
品质保证 · 通蔚试剂
首页
科研产品
ELISA试剂盒
人 Elisa试剂盒
大鼠 Elisa试剂盒
小鼠 Elisa试剂盒
兔类 Elisa试剂盒
动物 Elisa试剂盒
其他 Elisa试剂盒
PCR试剂盒
PCR检测试剂盒
RT-PCR试剂盒
染料法PCR试剂盒
探针法PCR试剂盒
探针法qPCR试剂盒
染料法荧光定量RT-PCR试剂盒
探针法荧光定量RT-PCR试剂盒
生化试剂盒
生化检测试剂盒
P450系列
氨基酸代谢系列
蛋白酶系列
蛋白含量系列
辅酶Ⅰ系列
辅酶Ⅱ系列
谷胱甘肽系列
氮代谢系列
淀粉系列
光合作用系列
果胶系列
离子系列
其他系列
糖代谢系列
酯酶系列
糖酵解系列
糖异生系列
糖原系列
土壤系列
维生素类系列
信号系列
蔗糖系列
植物激素系列
乙醛酸循环系列
花青素合成系列
海藻糖系列
氧化与抗氧化系列
维生素C代谢系列
脂肪酸代谢系列
氧化磷酸化系列
三羧酸循环系列
农残检测试剂盒
毒素ELISA竞争法
农药ELISA竞争法
色素ELISA竞争法
镇静剂ELISA竞争法
抗生素ELISA竞争法
性激素ELISA竞争法
瘦肉精ELISA竞争法
重金属ELISA竞争法
抗病毒ELISA竞争法
防霉剂ELISA竞争法
过敏原/营养抑制因子
镇痛药ELISA竞争法
材料助剂ELISA竞争法
环境污染物ELISA竞争法
保化添加物ELISA竞争法
乳品添加物ELISA竞争法
生理活性物ELISA竞争法
水产杀菌剂ELISA竞争法
细胞库
细胞株
耐药细胞株
永生化细胞
荧光示踪稳株
luc示踪细胞株
基础培养基
基础培养基
细胞冻存液
常规基础培养基
细胞粉末培养基
特殊定制基础培养基
完全培养基
完全培养基
分化培养基
常规完全培养基
原代完全培养基
原代细胞
鸡原代细胞
人原代细胞
小鼠原代细胞
大鼠原代细胞
兔原代细胞
猪原代细胞
其他原代细胞
细胞专用培养基
细胞系专用培养基
LUC细胞专用培养基
原代细胞专用培养基
其他细胞专用培养基
永生化细胞专用培养基
细胞系
人细胞系
大鼠细胞系
其他细胞系
小鼠细胞系
菌株
酵母菌
农杆菌
毕赤酵母
标准杆菌
枯草杆菌
大肠杆菌
其他杆菌
生化试剂
酶类
抗体素类
维生素类
色素类
缓冲剂类
蛋白质类
氨基酸类
表面活性剂类
碳水化合物类
植物激素及核酸类
分离材料及耗材类
其他试剂类
病理染色液
固定液
脱钙液
HE染色
细胞染色
骨组织染色
结缔组织染色
碳水化合物染色
色素染色
神经染色
脂类染色
微生物染色
核酸染色
植物染色
金属及盐染色
其他染色
指示剂
酶类染色
科研抗体
一抗
二抗
内参抗体
标签抗体
其他抗体
标准品
中药标准品
血清
进口血清
胎牛血清
形态病理检测
脱钙
石蜡包埋
石蜡切片
普通病理染色
免疫组化荧光
切片全景扫描
TUNEL
分子病理
分子病理
超微病理
超微病理
细胞凋亡与检测
凋亡试剂盒
公司简介
关于我们
公司新闻
联系我们
在线留言
公司新闻
技术服务
ELISA技术支持
实验操作视频
产品文献
代理品牌
订购中心
配送及验收制度
退货特殊说明
加入通蔚
当前位置:
首页
>
科研产品
>
标准品
>
中药标准品
>
冬青苷D
产品中心
+
-
ELISA试剂盒
• 人 Elisa试剂盒
• 大鼠 Elisa试剂盒
• 小鼠 Elisa试剂盒
• 兔类 Elisa试剂盒
• 动物 Elisa试剂盒
• 其他 Elisa试剂盒
+
-
PCR试剂盒
• PCR检测试剂盒
• RT-PCR试剂盒
• 染料法PCR试剂盒
• 探针法PCR试剂盒
• 探针法qPCR试剂盒
• 染料法荧光定量RT-PCR试剂盒
• 探针法荧光定量RT-PCR试剂盒
+
-
生化试剂盒
• 生化检测试剂盒
• P450系列
• 氨基酸代谢系列
• 蛋白酶系列
• 蛋白含量系列
• 辅酶Ⅰ系列
• 辅酶Ⅱ系列
• 谷胱甘肽系列
• 氮代谢系列
• 淀粉系列
• 光合作用系列
• 果胶系列
• 离子系列
• 其他系列
• 糖代谢系列
• 酯酶系列
• 糖酵解系列
• 糖异生系列
• 糖原系列
• 土壤系列
• 维生素类系列
• 信号系列
• 蔗糖系列
• 植物激素系列
• 乙醛酸循环系列
• 花青素合成系列
• 海藻糖系列
• 氧化与抗氧化系列
• 维生素C代谢系列
• 脂肪酸代谢系列
• 氧化磷酸化系列
• 三羧酸循环系列
+
-
农残检测试剂盒
• 毒素ELISA竞争法
• 农药ELISA竞争法
• 色素ELISA竞争法
• 镇静剂ELISA竞争法
• 抗生素ELISA竞争法
• 性激素ELISA竞争法
• 瘦肉精ELISA竞争法
• 重金属ELISA竞争法
• 抗病毒ELISA竞争法
• 防霉剂ELISA竞争法
• 过敏原/营养抑制因子
• 镇痛药ELISA竞争法
• 材料助剂ELISA竞争法
• 环境污染物ELISA竞争法
• 保化添加物ELISA竞争法
• 乳品添加物ELISA竞争法
• 生理活性物ELISA竞争法
• 水产杀菌剂ELISA竞争法
+
-
细胞库
• 细胞株
• 耐药细胞株
• 永生化细胞
• 荧光示踪稳株
• luc示踪细胞株
+
-
基础培养基
• 基础培养基
• 细胞冻存液
• 常规基础培养基
• 细胞粉末培养基
• 特殊定制基础培养基
+
-
完全培养基
• 完全培养基
• 分化培养基
• 常规完全培养基
• 原代完全培养基
+
-
原代细胞
• 鸡原代细胞
• 人原代细胞
• 小鼠原代细胞
• 大鼠原代细胞
• 兔原代细胞
• 猪原代细胞
• 其他原代细胞
+
-
细胞专用培养基
• 细胞系专用培养基
• LUC细胞专用培养基
• 原代细胞专用培养基
• 其他细胞专用培养基
• 永生化细胞专用培养基
+
-
细胞系
• 人细胞系
• 大鼠细胞系
• 其他细胞系
• 小鼠细胞系
+
-
菌株
• 酵母菌
• 农杆菌
• 毕赤酵母
• 标准杆菌
• 枯草杆菌
• 大肠杆菌
• 其他杆菌
+
-
生化试剂
• 酶类
• 抗体素类
• 维生素类
• 色素类
• 缓冲剂类
• 蛋白质类
• 氨基酸类
• 表面活性剂类
• 碳水化合物类
• 植物激素及核酸类
• 分离材料及耗材类
• 其他试剂类
+
-
病理染色液
• 固定液
• 脱钙液
• HE染色
• 细胞染色
• 骨组织染色
• 结缔组织染色
• 碳水化合物染色
• 色素染色
• 神经染色
• 脂类染色
• 微生物染色
• 核酸染色
• 植物染色
• 金属及盐染色
• 其他染色
• 指示剂
• 酶类染色
+
-
科研抗体
• 一抗
• 二抗
• 内参抗体
• 标签抗体
• 其他抗体
+
-
标准品
• 中药标准品
+
-
血清
• 进口血清
• 胎牛血清
+
-
形态病理检测
• 脱钙
• 石蜡包埋
• 石蜡切片
• 普通病理染色
• 免疫组化荧光
• 切片全景扫描
• TUNEL
+
-
分子病理
• 分子病理
+
-
超微病理
• 超微病理
+
-
细胞凋亡与检测
• 凋亡试剂盒
最新产品
大鼠克拉拉细胞蛋白(CC17)ELISA...
大鼠可溶性CD14(sCD14)ELIS...
大鼠颗粒酶B(GZMB)ELISA试剂盒
大鼠抗缪勒管激素(AMH)ELISA试剂...
大鼠内皮素1(ET-1)ELISA试剂盒
大鼠内皮素1(EDN1)ELISA试剂盒
大鼠内凝集蛋白1(ITLN1)ELISA...
大鼠抗利尿激素(ADH)ELISA试剂盒
大鼠抗酒石酸酸性磷酸酶(ACP5)ELI...
大鼠巨噬细胞移动抑制因子(MIF)ELI...
大鼠巨噬细胞炎性蛋白3α(MIP-3α)...
大鼠内皮抑素(ES)ELISA试剂盒
大鼠内皮素2(EDN2)ELISA试剂盒
小鼠丝甘蛋白聚糖(SRGN)ELISA试...
小鼠骨成型蛋白2(BMP2)ELISA试...
大鼠凝血因子Ⅱ(FⅡ)ELISA试剂盒
大鼠凝血酶原片段F1+2(F1+2)EL...
大鼠凝血酶抗凝血酶复合物(TAT)ELI...
大鼠凝血酶/抗凝血酶复合体(TAT)EL...
大鼠凝集素样氧化低密度脂蛋白受体1(LO...
大鼠尿微量白蛋白(MAU)ELISA试剂...
大鼠尿激酶型纤溶酶原激活因子(PLAU/...
大鼠尿激酶型纤溶酶原激活物受体(PLAU...
大鼠内脂素(VF)ELISA试剂盒
大鼠凝血因子Ⅴ(F5)ELISA试剂盒
大鼠强啡肽(Dyn)ELISA试剂盒
大鼠前列腺特异性抗原(PSA)ELISA...
大鼠前列腺素F2α(PGF2α)ELIS...
小鼠胰岛素样生长因子结合蛋白3(IGFB...
大鼠热休克转录因子1(HSF1)ELIS...
大鼠凝血因子Ⅻ(FⅫ)ELISA试剂盒
大鼠凝血因子Ⅹ(F10)ELISA试剂盒
大鼠凝血因子Ⅶ(F7)ELISA试剂盒
大鼠乳酸脱氢酶(LDH)ELISA试剂盒
大鼠趋化因子C-X-C-基元受体3(CX...
相关文章
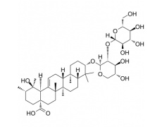
冬青苷D
规格:
5mg
2000
价格:
¥
品牌 : 通蔚生物
目录号 : TW23737
应用 : 仅供科研使用
货期 : 现货
规格 :5mg
立即购买
加入购物车
咨询客服
商品详情
参考文献
说明书下载
商品评论
0
相关产品
【中文名】:
冬青苷D
【英文名】:
Ilexoside D
【别 名】:
冬青苷D;Ilexoside D; ilexsaponin B1;
【C A S 】: 109008-27-7
【分子式】:
C41H66O13
【分子量】:
766.955
【储存条件】:
-20℃
展开全部
冬青苷D说明书
下载
姓名:
电话:
Q Q:
黄决明素
杜鹃素
地榆皂苷Ⅰ
豆甾醇
[3S-(3α,5α,8α)]-1,2,3,4,5,6,7,8-八氢化-α,α-3,8-四甲基-5-奥甲醇
β-谷甾醇
二氢醉椒素
Yadanziolide A
3-乙酰基-α-乳香酸
甘草西定
番泻苷元A
当药宁
胡黄连苷IV
甲基橙皮苷查尔酮
番茄碱
L-苯丙氨酸
槲皮素-3-O-葡萄糖-7-O-鼠李糖苷
19-氧代华蟾毒精
13-乙酰基-9-羟基巴卡丁III
Isovitexin 2''-O-beta-D-glucoside
(1R)-(+)-α-蒎烯
4,5-二-O-咖啡酰奎宁酸乙酯
甘草次酸
原人参三醇
白花前胡素E
L-鸟氨酸盐酸盐
上一篇:
地黄苷A
下一篇:
地骨皮乙素
手机扫描查看